21. Mezinárodní kongres IWSA Madrid 20. - 26.9.1997
Modelování kvality vody ve vodovodní síti
Studie modelování chlóru ve vodovodní síti Seine, zásobující předměstí Paříže
Společnost Companie Générale des Eaux (CGE) provozuje vodovodní síť společnosti Syndicat des Eaux d'Île-de-France (SEDIF). Potrubí délky 8 500 km zásobuje populaci čítající 4 milióny obyvatel s průměrnou denní potřebou milión m³ pitné vody. Systém je rozdělený na tři oblasti, každá má tři tlaková pásma, jednotlivé oblasti zásobují úpravny vody postavené u třech velkých řek — Seine, Marne a Oise — a také nad prameny podzemní vody. V roce 1992 byla zřízena služba Centre des Mouvements de l'Eau (CME), která koordinuje různé operace a zajišťuje spolehlivost dodávek vody i v nouzových situacích. CME byla vybavena systémem Phase I, který se skládal z geografického informačního systému (GIS), ze systému SCADA, kterým se získávala hydraulická data a údaje o kvalitě vody, a z moderní neuronové sítě pro předpovídání potřeby vody. V roce 1994 začal projekt Phase II, který má za úkol spojit systém SCADA se softwarem Stoner Workstation Service (SWS) a vytvořit tak vysoce účinný nástroj pro analýzu sítě. Tato aplikace má být dokončena v roce 1997.
Hydraulické modelování a kvalita vody
V roce 1992 vybrala společnost CGE software SWS k analýze hydraulických poměrů a modelování kvality vody. Od roku 1993 byla v různých potrubích sítě měřena kinetika úbytku chlóru. Testy měly prokázat vliv biofilmu a průtoku na velikost kinetické konstanty a určit hodnoty této konstanty pro různé materiály a průměry potrubí. Čtvrté modelování, které bude popsáno v následujícím textu, začalo v letech 1994–1995. Cílem bylo upřesnit kinetické faktory úbytku chlóru.
Modelování chlóru v síti Seine
Tato síť pokrývá 50 % celkové denní potřeby spravované oblasti. Je zásobována vodárnou Choisy-le-Roi s produkcí 800 tisíc m³/den na řece Seine a pramenem z Arvigny o maximální vydatnosti 50 000 m³/den. Síť tvoří tři tlaková pásma. Ke chloraci slouží kromě úpravny vody další tři významné uzly. Dřívější modely kvality vody poskytovaly až ve 25 % pozorovaných míst špatné výsledky, protože nebyly dostatečně podrobné. Je nutno zdůraznit, že se při modelování uvažují vodojemy jako dokonale promíchané nádrže, což vede k rozdílům mezi vypočteným a naměřeným zbytkovým chlórem vstupujícím do systému. Model sítě Seine byl přestavěn tak, že uvažoval všechny úseky o průměru potrubí 200 mm a vyšším a do jednotlivých uzlů sítě přiřadil příslušnou část potřeby vody obce, která se však v čase neměnila. Obrázek 1 ukazuje výsledný model.
Obr. 1 - Model vodovodní sítě Seine
Sběr dat
Proběhlo několik měření zbytkových koncentrací chlóru, a to od prosince do ledna 1995 a od července do srpna 1995. Měření měla za úkol zjistit konstantu úbytku při různé teplotě vody a obsahu biologicky rozložitelného uhlíku. Hydraulická data, jako průtoky, výšky hladin ve vodojemech, počáteční celková koncentrace chlóru z vodárny a čerpací stavy, byla převzata z databáze Phase I. Celkový chlór se měřil ve 14 uzlech sítě přenosným přístrojem HACH, který používá metodu DPD.
Kalibrace modelu
Úbytek chlóru v síti je úzce svázán s dobou dotoku. Proto pro stanovení korelace mezi naměřenými a vypočtenými koncentracemi chlóru musí model znát přesné průtoky vody v síti. Přesná hydraulická kalibrace modelu je nezbytná, nepřesnosti se promítají právě do modelování kvality vody. Software SWS má propracovanou dynamickou simulaci vodojemů, rozdíl mezi naměřenými a vypočtenými kótami hladin nepřesahuje 0,15 m v. s. l. Stejně tak rozdíly tlaku v uzlech nepřesahují 0,5 m v. s. l., rozdíly v průtocích se liší průměrně o 8 %. Největší rozdíly v průtocích, až 25 %, jsou při malém průtoku vody v potrubí, také díky velké nepřesnosti měření. Kinetická konstanta chlóru zahrnuje jednak kvalitu vody samu o sobě kbulk, jednak vzájemné působení mezi stěnou potrubí nebo vodojemu (vliv materiálu, biofilmu) nazvanou kwall. Tato poslední konstanta právě sjednocuje velikosti naměřených a vypočtených hodnot koncentrací. Kinetická konstanta je specifická jak pro upravenou vodu z vodárny v Choisy, tak pro pramen z Arvigny. Oblast, kde se oba zdroje mísily, byla známa. Faktory, které ovlivňují úbytek chlóru ve vodojemech, se zjišťovaly během měření, kdy byly vodojemy prázdné. Zjištěná konstanta úbytku chlóru ve vodojemech se pohybovala kolem 0,025–0,030/h. Nakonec byla kinetická konstanta pro každý materiál potrubí, průměr a drsnost upravena tak, aby se dosáhla nejlepší korelace mezi vypočtenou a naměřenou hodnotou. Konstanta se pohybuje v intervalu 0,045–0,095/h podle potrubí a ročního období. Obr. 2–5 ukazují výsledky koncentrace zbytkového chlóru ve čtyřech významných uzlech. Výsledky byly velmi dobré v 10 ze 14 pozorovaných uzlů a velmi špatné ve dvou uzlech. Konečný model umožňuje zdokonalovat strategii dochlorování a udržet tak v celé síti nezbytnou koncentraci 0,20 mg/l činidla.

Závěr
Používání matematických modelů k analýze a předpovídání kvality vody představuje rozšíření výsledků polních měřicích metod, které jsou pouze specifické a místní. Model umožňuje kromě ověření současného stavu vodovodní sítě také zjistit budoucí dopady rozšíření sítě nebo různé její modifikace. Dobré výsledky, kterých dosáhla studie modelování chlóru v síti Seine, dovedly společnost CGE k přebudování a kalibraci modelu kvality vody v celkové rozvodné síti. Tento nový model umožnil umístit v důležitých uzlech sítě 55 dochlorovacích jednotek tak, aby byla v celé síti potřebná zbytková koncentrace chlóru, nezávisle na různých provozních podmínkách. Ačkoliv nyní mohou modely kvality vody spolehlivě stanovit strategii dochlorování, stále nemohou přesně sledovat velikost zbytkového chlóru v celé síti. Velkým omezením modelování je předpoklad, že se vodojemy považují za dokonale promíchané nádrže, což je vzdálené realitě. Další nepřesnosti se týkají různých zdrojů vody a jejich různé kvality. V budoucnu je třeba se zaměřit na modelování meziproduktů (např. THM). Výsledky modelování pomohou vodárnám udržet přísné evropské normy pro pitnou vodu.
Modelování zbytkového chlóru v rozsáhlé vodovodní síti
Společnost Severn Trent Water je jedna z největších správců sítě ve Velké Británii, která zásobuje množstvím 2 000 miliónů l/den asi 8 miliónů obyvatel. K úpravě povrchových zdrojů vody je postaveno kolem 200 vodáren. V některých oblastech takto rozsáhlé sítě si spotřebitelé stěžovali na zápach vody způsobený vysokou koncentrací chlóru ve vodě, a proto proběhlo detailní pozorování sítě. Po dobu 2 let se odebralo na 40 tisíc bakteriologických vzorků vody z vodovodních kohoutků a výsledky se porovnávaly s analýzami zbytkového chlóru. Cílem bylo zjistit minimální koncentraci zbytkového chlóru, která by ještě preventivně působila proti nárůstu patogenů v síti. Obr. 1 ukazuje procento vzorků vody obsahujících koliformy v závislosti na výši koncentrace zbytkového chlóru. Je patrno, že vzrůstající koncentrace činidla nevede k odpovídající redukci počtu vzorků s patogeny.
Tato informace vedla k vypracování metodologie docílení minimální koncentrace zbytkového chlóru v síti tak, aby se minimalizoval risk růstu bakterií ve vodě a snížily stížnosti spotřebitelů na zhoršené organoleptické vlastnosti pitné vody. Vodovodní síť společnosti byla rozdělena do zón (OMA), na jejichž vstupu se měří průtok a které byly označeny jako oblasti ohrožené, kde je minimální koncentrace chlóru ve vodě a tedy největší riziko nárůstu bakterií, a jako citlivé, kde je maximální koncentrace chlóru ve vodě a tedy nežádoucí pro spotřebitele. Některé oblasti byly hygienicky zabezpečené pouze z jednoho místa, jiné používaly systém dochlorovacích stanic. V každé zóně se zjistila nejnižší a nejvyšší vhodná koncentrace dezinfekčního činidla. Také byli k měření doma povzbuzeni samotní spotřebitelé, aby se zvýšil počet dostupných informací.
Modelování chlóru ve vodovodní síti
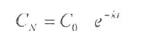
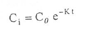
Chlór je velice účinné oxidační činidlo, které reaguje s velkým množstvím anorganických a organických látek přítomných v upravené vodě. Reaguje také s trubním materiálem rozvodného systému a s biofilmem na jeho povrchu. Výsledkem je úbytek koncentrace chlóru v síti. Ačkoli mechanismy, které přispívají k redukci chlóru, jsou velice složité, lze je popsat pomocí jednoduchého modelu. Software SWS používá k popisu úbytku chlóru ve vodovodní síti kinetiku úbytku prvního řádu: 
kde CN je nová koncentrace Cl₂ (mg/l) v čase t (h), C₀ je počáteční koncentrace v čase t = 0, k je koeficient úbytku chlóru. Vodovodní síť je rozdělena na elementární objemy a nové koncentrace v každém objemu jsou vypočítány podle koncentrace chlóru v předešlém objemu, podle doby dotoku vody z předešlého objemu a koeficientu k. Tento koeficient je určen experimentálně a je funkcí teploty vody, spotřeby chlóru, velikosti potrubí a hydraulických podmínek. Úspěch tohoto modelu do značné míry závisí na kalibraci hydraulického modelu a správném určení dob dotoku. Výsledky pak ukazují místa s nepřípustně nízkou nebo naopak vysokou koncentrací chlóru v síti. Hlavním přínosem modelu je však možnost simulovat různé situace ve vodovodní síti, jako je variabilita odběru během roku a dopady změn dávkování Cl₂.
Systém přivaděčů Southern Strategic Main
Tento systém přivaděčů pro distribuci pitné vody v oblasti Worcestershire, Gloucestershire a Warwickshire v Anglii zásobuje přes milión obyvatel. Systém má k dispozici tři úpravny vody v Myrthe, Strensham a Trimpley, které upravují vodu z toku River Severn. Dříve byl systém zásoben zastaralým způsobem, kdy úpravny Trimpley a Mythe nebyly propojeny přímo se sítí. V roce 1990 byl vypracován plán, který by umožnil z každé úpravny zásobit síť a také hlavní město oblasti Worcester přímo. Zdroje podzemní vody v Astley a Blackstone byly rovněž propojeny přímo se sítí, aby bylo umožněno smísení podzemní vody s vysokým obsahem dusičnanů s upravenou vodou z toku River Severn. Celý vodárenský systém je znázorněn na obr. 2. Schéma zobrazuje hlavní vysokoprůměrová potrubí spojující úpravny vody s vodojemy na Trimpley Top a Elbury Hill (tab. 1).
Voda z úpravny Trimpley je čerpána do vodojemu Trimpley Top, odkud gravitačně teče do vodojemu Elbury Hill nebo do Mythe a Strensham. Podobně může být čerpána voda z Mythe do Strenshamu a ze Strenshamu do vodojemu Elbury Hill. Flexibilita systému spočívá v široké škále možných operačních strategií řízení, kdy lze snadno měnit průtokové poměry v rozvodné síti. Pro návrh sítě byl použit hydraulický model, který umožnil rozpracovat několik variant řídicích strategií a byl dokončen na jaře 1995.
Protože se dopředu předvídaly problémy s koncentracemi chlóru, byl sestrojen model kvality vody. Tak je možné posoudit optimální body pro dávkování chlóru. Model kvality je založen na nástroji SWS, který na vstupu využívá hydraulického modelu sítě. Koeficient k byl stanoven experimentálně ze vzorků vody na přivaděči z Mythe do Strenshamu byl kalibrován tak, aby vypočtené koncentrace odpovídaly naměřeným. Počáteční hodnota koeficientu k byla 0,05 h⁻¹ a tato hodnota se použila pro první simulace, aby se nalezla optimální místa dávkování chlóru.
Cílem bylo prokázat, že voda opouštějící přivaděče obsahuje koncentrace zbytkového chlóru okolo 0,1 mg/l. Ukázalo se, že změna průtokových poměrů v přivaděči má očividný vliv na koncentrace zbytkového chlóru. Když rychlost v přivaděči stoupá, tak i koncentrace chlóru v monitorovaných uzlech je vyšší.
Model lze během provozu snadno opravovat o změněné teplotní podmínky a změny kvality vody, protože systém přivaděčů je vybaven nepřetržitým monitorováním koncentrací chlóru. Přestože tak jednoduchý model by byl pro řízení vodovodní sítě ve spotřebišti nevhodný, pro řízení komplexu přivaděčů Southern Strategic Main poskytuje cenné informace a zabraňuje tak nadměrné koncentraci zbytkového chlóru.
Výzkumné studie úbytku chlóru
Moderní procesy úpravy vody používají granulované aktivní uhlí a ozón pro předčištění vody, kdy tato činidla snižují následnou spotřebu chlóru odstraněním části organických látek. Zbytkový chlór ve vodě je pak stabilnější a může lépe zabraňovat bakteriologickému znečištění. Nevýhodou je částečné zhoršení organoleptických vlastností vody. Laboratorní studie prováděné na upravené vodě v Mitcheldeanu, Mythe a Melbourne se snažily identifikovat parametry kvality vody, které mají největší vliv na úbytek chlóru. První výsledky ukazují, že úbytek chlóru je závislý na UV absorpci a teplotě, zatímco organický uhlík vykazuje pouze slabou závislost. Program monitorování biofilmu v několika lokalitách rozvodného systému pokračuje a první výsledky ukazují na vzrůstající tvorbu biofilmu ve vodojemech s dlouhou dobou zdržení. Tento výzkum bude zahrnovat také vliv návrhu vodojemů na redukci biologického znečištění. V současnosti probíhá měření úbytku chlóru v objemovém průtoku a na stěnách potrubí. Práce se rovněž zabývá posouzením vztahu mezi úbytkem chlóru a průtokem, teplotou, materiálem potrubí a kvalitou vody. Cílem všech těchto prací je nalézt klíčové parametry, které mají vliv na úbytek chlóru ve vodovodní síti, aby modely kvality vody mohly být upřesněny.
Závěr
Společnost Severn Trent Water používá model zbytkového chlóru v systému přivaděčů pro udržování dobré kvality vody, aniž by docházelo k přechlórování vody a ke zhoršení senzorických vlastností vody u spotřebitelů. Byla zkoumána optimální hodnota zbytkového chlóru ve spotřebišti. Ukázalo se, že v některých spotřebištích je pro zachování odpovídající mikrobiální kvality vody nutná větší koncentrace chlóru, zatímco stejná hodnota by v jiném spotřebišti vedla k přechlórování a ke stížnostem spotřebitelů. Matematický model zbytkového chlóru umožňuje lépe pochopit uvedené souvislosti. Pro systém přivaděčů Southern Strategic Main byl použit model společnosti Stoner Workstation Service, který zahrnuje hydraulický model sítě a posouzení zbytkového chlóru. Z výzkumu vyplývá, že je před rutinním užíváním modelu nutné porozumět vztahům mezi všemi parametry, které ovlivňují úbytek chlóru.
Kvalitativní posouzení vody ve vodovodní síti
Vodárenské společnosti zabývající se zásobováním pitnou vodou musí dodávat spotřebitelům vodu, která splňuje jednak senzorické vlastnosti, ale také musí vyhovět normativům na obsah mikrobiologických, chemických, biochemických a fyzikálních substancí. Kvalita vody se v čase a v místě mění. Stupeň použitelnosti vody je chápán jako stupeň kvality poskytované služby, kterou úpravna vody nabízí spotřebitelům. Kvalita poskytované služby nezávisí pouze na dodržení příslušných normativů, ale cílem musí být vytvoření produktu s dobrými senzorickými vlastnostmi.
Modelování kvality vody ve vodovodní síti
Matematické modely kvality vody jsou efektivním nástrojem pro predikci a simulaci kvality vody v rozvodné síti. Chybí však nástroj, který by vysoce odborné poznatky z matematického modelu znázornil pro potřeby praxe. Modely kvality vody jsou schopny popsat pohyb látek potrubím, odhadnout jejich úbytek nebo růst, vypočítat stáří vody v potrubí nebo určit přesný původ vody v libovolném bodu sítě. Modely slouží k předpovědi kontaminace a navrhují strategie jejich odstraňování, posuzují původ vody v libovolném bodu sítě, navrhují místa pro odběr vzorku, optimalizují dezinfekci, naleznou optimální uzly pro umístění chlorovacích stanic a vyhodnocují strategii pro operační řízení sítě. Tato práce se zabývá novým přístupem zhodnocení použitelnosti vody v rozvodném systému. Podstatou je matematický model kvality vody pro více fyzikálních a chemických parametrů. Výstupem z modelu je kompletní popis koncentrací daných látek, dob dotoku, rozdělení zdrojů v celé síti a kolísání hladin ve vodojemech v průběhu dne.
Kvalitativní zhodnocení použitelnosti vody
Použitelnost vody je hodnocena následujícími aspekty:
- kvantitativní ukazatele v klíčových bodech sítě (uzel, úsek potrubí). Příkladem je koncentrace dané látky v uzlu.
- penalizační funkce, která boduje konkrétní hodnotu dané proměnné hodnotou indexu použitelnosti. Index 4 je pro optimální stav a index 0 pro nepoužitelnou kvalitu vody. Penalizační funkce si nadefinuje sám uživatel.
- kvantitativní ukazatele v klíčových bodech sítě (uzel, úsek potrubí). Příkladem je koncentrace dané látky v uzlu.
- penalizační funkce, která boduje konkrétní hodnotu dané proměnné hodnotou indexu použitelnosti. Index 4 je pro optimální stav a index 0 pro nepoužitelnou kvalitu vody. Penalizační funkce si nadefinuje sám uživatel.

Na obr. 2 je znázorněna penalizační funkce pro žádoucí látku, jako je fluorid, nebo nezbytnou látku, jako je dezinfekční činidlo.
V tomto případě je průběh penalizační funkce opačný než v případě podle obr. 1. Tímto způsobem lze sestrojit penalizační funkce pro soubor látek, jež mají z hlediska kvality vody ve vodovodní síti význam. Vliv na kvalitu vody má i doba dotoku z úpravny ke spotřebiteli. Podobně jako u koncentrací, lze i zde stanovit jistou časovou mez doby dotoku, jejíž překročení způsobí zhoršení kvality vody a index použitelnosti klesne na nulu.
Aplikace metodiky na zbytkový chlór
Metodika testování volného zbytkového chlóru byla aplikována na stávající vodovodní síti, která zásobuje 300 000 obyvatel. Normativní doporučení pro jeho koncentraci (WHO) je 0,20–0,50 mg/l. Příliš velká hodnota volného chlóru v síti může způsobit reakce s organickou hmotou, což vede ke vzniku nežádoucích produktů, jako jsou karcinogenní trihalogenmetany.
Stejně tak dojde ke zhoršení pachu a chuti vody. Koncentrace volného chlóru v mezích 0,6–1,0 mg/l je považována za horní
hranicí akceptovatelnosti. Provozovatel sítě je postaven před
problém, jak zachovat dobré organoleptické vlastnosti vody
a zaručit její nezávadnost. Na obr. 3 je znázorněna penalizační křivka pro zbytkový chlór. Optimální koncentrace odpovídají rozmezí 0,20–0,50 mg/l, na hranici 0,80 mg/l je index použitelnosti na hodnotě akceptovatelnosti a byl stanoven na hodnotu
Aplikujeme-li tuto penalizační funkci (obr. 3) na celou síť, získáme výsledný průběh funkce použitelnosti. Při jejím sestrojení můžeme uvažovat koncentrace v každém uzlu sítě se stejnou vahou nebo s uvážením různé váhy podle velikosti průtoku. Funkce použitelnosti pro zbytkový chlór je znázorněna na obr. 4. Funkce je sestrojena pro 24hodinovou periodu. V grafu jsou znázorněny celkem čtyři pásy po 25 %: (0–25 %), (25–50 %), (50–75 %) a (75–100 %). Tyto pásy představují procentuální část z celkové potřeby vody. Graf je třeba číst tímto způsobem: v daný čas čteme na svislici rozsahy indexu použitelnosti pro jednotlivé procentuální pásy.

Podle obr. 4 je koncentrace zbytkového chlóru v síti celkem dobrá až na spodní pás s nejnižším procentuálním podílem. To je způsobeno dlouhou dobou dotoku, která je dána malou rychlostí v potrubí v noci. Proto má voda v ranních hodinách zhoršenou kvalitu a ve 25 % případů je index použitelnosti v rozmezí 0 až asi 3,7. Avšak během denní špičky (12:00–20:00) je diagram velice úzký a použitelnost kvality vody je poměrně vysoká (3,25). Graf použitelnosti vede k těmto závěrům:
- síť má problémová místa s nízkou koncentrací činidla, která pravděpodobně odpovídají okrajovým uzlům s dlouhou dobou dotoku,
- podíl míst se zhoršenými organoleptickými vlastnostmi je nevýznamný.
Pro zlepšení kvality vody v síti během dne byla provedena simulace s počáteční dávkou chlóru 0,75 mg/l namísto dosavadních 0,60 mg/l. Obr. 5 ukazuje odpovídající funkci použitelnosti. Jak je patrné, došlo k celkovému zlepšení situace, kdy nejnižší index použitelnosti stoupl nad hodnotu 1. Tato nová strategie hygienického zabezpečení pitné vody poskytuje vyšší použitelnost vody a zlepšuje tak úroveň poskytované služby spotřebitelům.
Závěr
Nový přístup v modelování kvality vody umožňuje systémovým inženýrům a vodohospodářům získat takovou prezentaci výsledků, která bude srozumitelná i laikům. Otevírá se zde rovněž pole působnosti pro citlivostní analýzu a pro získání nových poznatků o vodovodní síti a jejím chování.
Model kvality vody v rozvodném systému
V nedávné době se mnoho vodohospodářských společností zaměřilo na otázku úpravy pitné vody. Upravená voda mění na své cestě z úpravny ke spotřebiteli svou kvalitu. Roste proto zájem vyjádřit faktory ovlivňující tuto změnu kvality vody v rozvodném systému, která je způsobena fyzikálními, chemickými a biologickými procesy, mísením vody z různých zdrojů a hydraulickými poměry v rozvodné síti. Z důvodu složitosti a rozlohy většiny rozvodných systémů je velice složité porozumět proměnlivosti kvality vody v nich. Ukazuje se, že je nezbytné vyvinout model kvality vody, který by monitoroval kvalitu vody v důležitých uzlech a byl schopen predikce. Součástí modelu kvality vody je hydraulický model rozvodného systému, který popisuje průtokové a tlakové poměry ve vodovodní síti. Tento dokument popisuje numerický model kvality vody a jeho použití na příkladu modelu koncentrace zbytkového chlóru ve vodovodní síti ve čtvrti ShuJiaTun města Shen Yang v Číně.
Dynamický model kvality vody
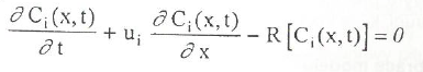
Dynamický model kvality vody simuluje transport látek potrubím za časově proměnných podmínek, jako je potřeba vody. Práce předkládá explicitní algoritmus modelu kvality vody pro popis koncentrace látek ve vodovodní síti. Algoritmus je založen na zákonu zachování hmoty, který uvažuje transport v potrubí a kinetiku reakce zkoumané látky. Vstup do modelu tvoří topologický popis sítě, hydraulické podmínky v síti, reakční charakteristiky jednotlivých látek, počáteční stav koncentrací látek v síti a popis koncentrací látek vstupujících do sítě z vnějších zdrojů. Model uvažuje různé konstanty úbytku v každém úseku a vypočte koncentraci libovolné látky v každém uzlu v čase, jaký si uživatel zvolí. Výsledky je možno zobrazit graficky nebo tabelárně. Koncentrace látek mohou být zobrazeny ve výkresu sítě se zvýrazněním míst jejich kritické hodnoty. Zákon zachování hmotnosti kontinua v potrubí je popsán klasickou jednorozměrnou parciální diferenciální rovnicí:
kde Ci je koncentrace v úseku i, v nějaké vzdálenosti x a čase t, Ui značí rychlost v úseku i a R[Ci(x,t)] je konstanta reakce.
Počáteční podmínky jsou dány koncentracemi látek v čase t = 0. Za předpokladu dokonalého smísení látky v uzlu k lze psát následující okrajové podmínky:
kde Ck je látková koncentrace v uzlu k, i je úsek s průtokem vytékajícím z uzlu k, j je úsek s průtokem vstupujícím do uzlu k, Lj je délka úseku j, Qj je průtok v úseku j, Cs je koncentrace látky vstupující do uzlu k externě a Qs je její průtok.
Rovnice (1) společně s okrajovými podmínkami (2) pro všechny úseky tvoří soustavu parciálních diferenciálních rovnic. Její analytické řešení je i pro velice jednoduché sítě prakticky neschůdné a proto je nutné numerické řešení.
Numerické řešení
Pro numerické řešení je třeba provést časovou diskretizaci, kdy v časovém kroku řešení se uvažuje konstantní průtok. Každé potrubí se rozdělí na určitý počet objemových segmentů, ve kterých uvažujeme konstantní koncentraci. Látka v prvním segmentu napřed reaguje s každým objemovým segmentem a poté se přesune do přilehlého segmentu po toku. Dosáhne-li do uzlu, koncentrace z jednotlivých úseků se smísí. Výsledná koncentrace v každém uzlu se vyčíslí. Tento postup se opakuje, dokud se nezmění hydraulické podmínky v síti. Jakmile se hydraulické podmínky změní, je nutné přepočítat objemy jednotlivých segmentů, aby se tak zohlednily odlišné doby dotoku. Časový krok dt nesmí být větší než je nejkratší doba průtoku ze všech úseků:


kde INT(x) je největší celé číslo menší nebo rovné x.
Úbytek chlóru
Chlór se pohybuje potrubím v síti, reaguje s organickou hmotou ve vodě a s biofilmem. Každý typ reakce má jinou reakční kinetiku a oba typy reakcí lze popsat rovnicí prvního řádu:


k_b je koeficient úbytku chlóru v objemovém průtoku, t je čas, k_r je koeficient přenosu hmoty mezi objemovým průtokem a stěnou potrubí, r₀ je hydraulický poloměr potrubí, k_w je koeficient stěny potrubí.
Kalibrace modelu
Kalibrace modelu zbytkového chlóru je provedena ve dvou tazích. Za prvé se jedná o kalibraci hydraulického modelu a za druhé o vlastní kalibraci modelu zbytkového chlóru. Při kalibraci modelu je třeba nastavit takové hodnoty koeficientů úbytku chlóru, aby byla dosažena co nejlepší shoda mezi naměřenými a vypočtenými daty. Neexistuje obecná rovnice pro výpočet konstant úbytku chlóru. Správná hodnota se získá kombinací laboratorní analýzy a analýzy dat získaných přímo v terénu. Experimenty prokázaly, že konstanta úbytku chlóru je v potrubí několikrát větší než v laboratorních podmínkách u téhož vzorku vody.
Sběr dat a výsledky
Model kvality vody vyžaduje rozsáhlý soubor dat z terénu, aby výsledky byly reprezentativní a měly smysl. Je nezbytné vybrat nejdůležitější body, ve kterých bude kvalita monitorována, a snažit se získat v těchto bodech co možná největší soubor měření.
V nejdůležitějších bodech sítě byly rozmístěny přístroje pro kontinuální měření s vysokou přesností, v dalších vybraných uzlech byly osazeny přenosné monitorovací přístroje měřící koncentrace v krátkých intervalech. Vodovodní síť ve čtvrti SuJiaTun města ShenYang tvoří relativně nezávislý systém zásobovaný pěti prameny (obr. 1). Tento systém je pro testování zbytkového chlóru ideální, protože kvalita vody z vodních zdrojů je relativně stálá. Měření probíhalo po dobu čtyř dnů v září 1996. Průměrná koncentrace volného zbytkového chlóru byla 0,69 mg/l a celkového zbytkového chlóru 0,71 mg/l. Průměrný přítok do systému byl 292 l/s. Pro sledování kvality vody bylo vybráno 26 bodů v síti. Koncentrace volného a celkového chlóru byly zaznamenávány v 30minutových intervalech. Pak byly vyčísleny konstanty úbytku chlóru a srovnání simulovaných a naměřených koncentrací prokázalo velice dobrou shodu.
Závěr
Z dosažených výsledků vyplývá, že rozvodný systém má vliv na kvalitu vody. Experimenty prokázaly, že koncentraci zbytkového chlóru v potrubí ovlivňuje materiál potrubí, doba dotoku, rychlost vody, průměr potrubí a potřeba vody. Úspěch modelu kvality vody závisí na dobré kalibraci hydraulického modelu.
Marketing a udržování vztahů se zákazníkem
M. Devlin (Velká Británie)
Jaký marketing má provozovat vodárna? Na nákup a prodej vody se musíme dívat očima zákazníka spíše než dodavatele. S jistými obtížemi někteří lidé ve vodárnách přišli na to, že v době převodů monopol vodáren přešel na firmy, který je (ve Velké Británii) zcela nezávislý na vládních úřadech. Založení a udržování dobrých vztahů se zákazníkem je důležité pro úspěch dodávky vody jako organizace. Jak vylepšit vztahy se zákazníky? Jak udržovat loajalitu zákazníků? Jak můžeme demonstrovat, že výkony vodárny jsou opravdu dobré? Neexistuje zlaté pravidlo pro vybudování vztahů se zákazníkem. V SAUR (společnost vlastněná South East Water, kde je M. Devlin generálním ředitelem) se na základě studií vztahů se zákazníkem vázala vzájemná korespondence. Výzkum vytipoval pět hlavních oblastí:
1. Je nutné poskytovat služby, které vyhovují životnímu stylu našich zákazníků. Sloužíme pro komunity všech druhů – městské, venkovské a lidi, kteří dojíždějí. Otevírací hodiny pro fakturaci se tomu musí přizpůsobit. Nouzová volání jsou možná 24 hodin denně.
2. Rozhodněj jsme, že služby musí přejít na místní úroveň. Předtím se lidé domnívali, že jejich vodárna musí být velkým komplexem, aby měla být řízena lokálně. Když mluví s manažerem, měli by mít jistotu, že se s ním mohou setkat.
3. Je nezbytné, aby se zaměstnanci vodárny naučili naslouchat zákazníkům. Tvrdé metody, silné argumenty a přílišná administrace škodí.
4. Zákazníci nechtějí slyšet výmluvy. Když dojde k přerušení dodávky, nechtějí vysvětlení, ale řešení.
5. Snažili jsme se, aby služby byly co nejvíce orientované na spotřebitele. Zjistili jsme také, že pouze 4 procenta stížnosti dojdou k někomu, kdo může stížnost vyřídit. To je zdrojem pro zvýšení nespokojenosti zákazníka. Většina (96 %) si stěžuje svým přátelům – v průměru jeden nespokojený zákazník si postěžuje 8 přátelům, ale může to být až 20. Dokonce jeden odpojený zákazník může na trhu způsobit značnou škodu. Pokud nevyřešíme vše napoprvé, můžeme očekávat 15–40 % nárůst nákladů organizace.
Od té doby, co byla otevřena první kancelář – „obchůdek“ v roce 1991, jsme měli 600 000 návštěv. Zatímco jiné vodárny organizují své záznamy podle nemovitostí, my je organizujeme podle lidí – zákazníků. Máme tak detailní přehled o jejich problémech.
Čtyři příklady iniciativ, které jsme přijali jako výsledek průzkumu:
- Zjistili jsme, že mnoho lidí by chtělo vodoměry, ale obávali se nákladů na instalaci. Vodoměry jsou nyní zdarma pro všechny zákazníky.
- Zjistili jsme, že někteří zákazníci mají problémy s placením účtů a poté byl systém placení v hotovosti, nebo složenkou placen přímo, byl považován za trapný a nepříjemný. Zavedli jsme platební karty, které mohou projet strojem v každém našem obchůdku, i kdyby šlo o zaplacení třeba jedné libry. Neodmítáme peníze, když jsou nabízeny. Tato metoda je mnohem příjemnější i levnější pro provozovatele.
- Existuje zákonné schéma pro kompenzaci zákazníkům, pokud nedodržíme standardy zásobování. Zákazníci tomu nerozuměli a tak jsme vytvořili návod a průvodce, který vše vysvětluje.
- Zákazníci si stěžují někdy na kvalitu vody. Místo aby byli odkázáni na vědecký personál, zavedli jsme počítačový systém, který našim pracovníkům v obchůdcích pomáhá krok za krokem, na základě otázek zákazníkům, vyřešit jejich problém.
V roce 1991/92, kdy jsme s programem začínali, jsme měli 6 000 psaných stížností a generální ředitel hodnotil naši práci jako „velmi špatnou“. V roce 1995/96 jsme měli 600 písemných stížností. Generální ředitel to komentoval jako „velmi dobře“.
Staráme se, kam voda jde
J. Huberts (Nizozemsko)
Proč by měl mít monopolista starosti se spokojeností zákazníků. Jaké měla naše společnost důvody? Měli jsme špatný image. Byli jsme známí jako letargičtí a pomalí při rozvoji iniciativ. Naše společnost nebyla příliš známa, dokonce ani mezi našimi zákazníky. Zákazníci si mysleli, že voda dodávají elektrorozvodné závody. Nás spojovali s úpravou vody. Mnozí naši zaměstnanci, zvláště mladí, byli nespokojeni. Existovalo jen málo možností k vyniknutí v naší společnosti. Peníze zákazníků jsme použili na zásobování vodou a nestarali jsme se o správné řízení financí. Byli jsme bez kontaktu se zákazníky. Místní úřady začaly pochybovat, zda jsme schopní dodávat vodu.
Pro získání přehledu o našich službách jsme využili stížnosti zákazníků. Wisse Dekker, jeden z dřívějších vrcholových ředitelů Philipsu jednou řekl, že vítá nositele špatných zpráv, protože mu přinášejí důležité informace.
Na dvou příkladech ilustruji naši situaci před dvěma lety:
Jedna z našich zaměstnankyň stála po značnou dobu u píchacích, aby se odpíchla. Druhý zaměstnanec procházel okolo a zeptal se, zda může tuto ženu nějak podpořit nebo pomoci. První žena povídala náchmurně, že šéfka jí řekla „nemáš čas“.
Velkobočská technická divize odmítla pomoci ženě na předměstí s připojení vodovodu. Přitom vše předtím, než měl otevřít pro veřejnost. Naše společnost dostala špatnou pověst. Jeden z vedoucích zaměstnanců potom rozhodl o výměně výkonného ředitele. Ředitel společnosti dostal jezdit na vík, kde se dělí doba, kdy si lidé nalévají musem a její zpět. Nyní organizujeme pravidelné návštěvy vedoucích pracovníků, určené naší budoucí strategii.
Když jsme zjistili, že jsme často nedostupní pro naše zákazníky, zrušili jsme okamžitě hromadné dovolené o velikonocích a vánocích. Protože někteří naši zákazníci neplatí účty, v minulosti jsme je vždy odpojili a účtovali jim náklady na odpojení a znovupojení. Dnes jim nainstalujeme vodoměry na platební kartu, takže si sami mohou rozhodnout, kolik za vodu zaplatí.
Zjistili jsme, že naše společnost má také sociální a společenskou roli. Nabízíme studentům možnost praktické výuky, také jsme zavedli speciální tréninkové kurzy pro menšiny, abychom jim pomohli zlepšit postavení na pracovním trhu.
Děti nám přinášejí své slohové práce, zaměstnanci, kteří se zúčastnili výpočetního nebo jazykového kurzu, dostávají diplomy a jsou motivováni. To je dnes významné.
Během několika uplynulých let jsme utratili asi 10 milionů guldenů, abychom se z mnohosti stali společností orientovanou na zákazníka. Zavedeni jen několika opatření směřujících k zákazníkovi nevytvoří věrné zákazníky a tržně orientovanou společnost, není možné zůstat v půli cesty. Zavedení zákaznické orientovanosti přispělo k našim úsilím na poli TQM (Total Quality Management).
Marketing a udržování vztahů se zákazníkem
G. M. Moy (Norsko)
V roce 1995 byl radnicí v Oslo proveden průzkum mezi 2 000 respondenty (z toho bylo zahrnuto asi 100 zákazníků vodárny). Zákaznický průzkum ukázal na některé silné stránky (jednání se zákazníky, informovanost zákazníků) a na některé slabé stránky (nedostupnost zodpovědného pracovníka, porozumění přínosu zákazníka z hlediska společnosti). Zákazníci, kteří měli více informací nebo byli lépe informováni, byli spokojenější.
Byli jsme došli ke zjištění, že je nutné věnovat více zákazníkovi a ovlivnit tím reputaci vodárenské společnosti.
Marketing a informování mohou jít dvěma cestami: jako Public Relations a jako činnost spojená se stykem se zákazníkem. Obojí může mít kladný efekt na spolupráci mezi dodavatelem vody a zákazníky. Zlepšení v jednání s klienty bude mít pozitivní efekt na nás samé a bude dále vylepšovat kvalitu našich služeb. Z hlediska informovanosti a jednání se zákazníky je nutné udržovat úzkou kooperaci mezi stykem s veřejností (Public Relations) a jednotlivými zákazníky (Customer Relations).
Vodárny Oslo (Oslo Water and Sewerage Works) začaly využívat řízení kvality jako pro služby tak pro vodárenské projekty. V budoucnosti je nezbytné zakotvit naše standardy služeb a také výhodnost efektivní organizace a tímto způsobem zvyšovat kvalitu naší práce v budoucnosti.
Závěrem je průzkum mezi našimi zákazníky nástroj pro zlepšení našich služeb.


